pg娱乐电子游戏 【心电算法系列】心电图机不同场景应用数据库的建立
不同场景心电图应用数据库的建立 施亚军 宋晓武 高岭 董应丹青 王金丽 陈韵岱
解放军总医院
0 简介
心电图数据库的建立是检验各类心电图机自动诊断分析功能和算法有效性的重要标准。
不同级别医院、不同疾病分布科室的心电图诊断特点并不一致。例如,在急症室和重症监护室,急性冠脉综合征和心律失常的发生率高于住院病房和门诊部,也高于二、三级医院。相比之下,一级医院疾病简单,病情较轻,心电图诊断正常的比例较高。因此,建立场景心电图数据库对于提高心电图机在不同临床场景下的自动诊断功能具有重要意义。

1 种方法
1.1 数据库来源
该数据库是在北京市科技计划项目“心电医疗电子仪器验证、评价与推广”的支持下建立的,并成立了项目专家组。项目专家组以临床应用为主要目的,划分临床场景。经过多位专家论证,心电图场景分为三级六类:三级包括三级医院、二级医院、一级医院;三级包括三级医院、二级医院、一级医院。第六类包括三级医院、二级医院的急症重症监护病房、住院病房、门诊诊所。一级医院、一级医院的住院病房和门诊部。
原始数据库来源于解放军总医院心电信息管理系统和基层心电数据管理系统存储和分析的心电原始数据。
数据库患者地域分布覆盖全国34个省市、7个地区;根据全国人口比例修正后pg赏金女王单机版试玩平台,主要覆盖华北、华东、华南地区。在心电图记录之前,受试者被要求安静地坐至少 5 分钟。在记录过程中,受试者的电极放置部位完全暴露。常规12导联电极按照国际统一标准准确放置,心电采集严格按照心电图操作规范进行。
采用十二导联同步心电图机采集心电图数据,采集至少10 s的十二导联同步心电图数据。采样、存储、分析频率均达到1000点×秒×通道。原始数据来源完整可靠、精度高、覆盖面广,为后续采样研究奠定了坚实的基础。

1.2 建立方法
1.2.1 按临床应用场景分类
(1)按照不同级别医院对心电场景进行分类:包括解放军总医院、3家二级医院、12家一级医院的心电数据,共计30万条心电数据。
(2)根据三级医院疾病分布对心电图场景进行分类:包括解放军总医院急重症病房心电图数据、住院病人心电图数据和门诊心电图数据。
依托原始采样心电图机自动提取的特征值结果,对心电图数据库的心电图特征值进行测量和分析,并结合相关临床数据对心电图诊断结果进行三级审核和确认。
1.2.2 诊断术语的形成
以AHA/ACC/HRS《2009年心电图标准化与分析建议》为基础pg电子赏金试玩app,多次召开专家论证会,对以临床实际应用为主要目的的诊断术语库进行标准化、合并,最终形成了临床应用场景评价诊断术语库。
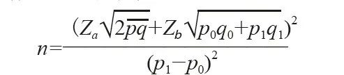
1.2.3 数据库采样
根据诊断术语对临床心电图场景数据库进行分类检索和汇总,计算各个诊断术语在不同临床心电图场景中所占的比例。根据比率及其置信区间计算方法计算样本量。计算公式如下:

定义检验水平α为0.05,将II类误差β的发生率定位为0.10,逐项计算汇总。
采用系统抽样随机化方法,根据计算的样本量抽取每个诊断术语。
1.2.4 心电数据测量与分析
依托原采样心电图机自动提取的特征值结果,聘请国内知名心电图专家对数据库中各种诊断心电图的特征值进行测量和分析。
主要包括心电图各波、段、区间的测量和分析,电轴的测量和分析,心率的测量和分析等。收集患者的其他临床数据,包括基本数据所有心电图均经过至少两名心电科医生的校正,双盲诊断一致后将心电图选入数据库。
2 个结果
(1) 数据库组成
根据心电图诊断评估系统的建设和应用要求,聘请国内心电图和医学工程相关专业的知名高级工程师编写数据库软件,并将获得的原始数据输入到评估所用的心电图数据库软件中。系统。
该数据库包括两部分:各级医院心电图场景数据库和不同疾病的心电图场景数据库。数据库涵盖了临床应用场景下的各种心电诊断条目,基于10秒十二导联同步心电信号,包括心电波形数据、心电测量特征值、临床信息(患者基本信息、病史、实验室检查、用药状态、临床情况等)。每条心电数据从前到后匹配,然后首尾相连,完成心电数据信号回路。
(2)不同临床应用场景数据库中心电诊断的分布特征
心电图诊断在不同的临床应用场景中具有各自的特点。我们将不同的医院划分为不同层次的场景。医院的具体工作场景包括门诊、病房、急诊重症监护室等。经过统计分析,我们得出以下结论。
2.1 不同级别医院心电图场景 不同级别医院心电图诊断分布不同。
(1)有些心电图诊断项目仅在二、三级医院可见,而在一级医院很少见,如房性逸搏和心律、加速交界性逸搏和心律、心房扑动、室性逸搏等心房融合波、心室融合波、窄QRS波心动过速、宽QRS波心动过速、室性心动过速、心室扑动、心室颤动二度窦性传导阻滞、二度I型房室传导阻滞、二度II型房室传导阻滞、2:1房室传导阻滞、高度房室传导阻滞、右室高电压、完全性右束支合并左前支传导阻滞、U波扩大、U波倒置、房性起搏节律、心房感知室性起搏节律、房室序贯起搏节律、窦性夺获等。
(2)有些心电图诊断项目仅在三级医院偶尔见到,在一、二级医院极为罕见,如尖端扭转型室性心动过速、平行心律、三支血管传导阻滞等。
(3)统计分析显示,大部分心电诊断项目在三级医院的发病率较高。
(4)通过样本量计算和汇总,获得涵盖三级医院各类诊断条目信息的评价数据库1632个,其中三级医院633例,二级医院516例,一级医院483例。
2.2 医院疾病分布的不同心电图场景
根据医院疾病分布,分为急重症病房、普通病房和门诊三种心电图场景。急重症病房包括外科重症监护病房、神经重症监护病房、心脏监护病房、呼吸监护病房和急诊病房。不同心电场景下的心电诊断具有不同的特点:
(1)心电图诊断项目“正常心电图(范围)”,门诊发病率为62.49%,略高于普通病房(59.67%),而重症、重症病房发病率仅为 14.94%(P
(2)重症、重症病房部分心电图诊断项目的发生率高于普通病房和门诊(P
(3)一些心电图诊断项目在急症、重症病房可见,但在普通病房和门诊很少见,如二度窦房传导阻滞、加速交界性逸搏心律、室性逸搏心律、加速室性逸搏心律和加速性心室逸搏心律。室性逸搏心律、二度II型房室传导阻滞、2:1房室传导阻滞、高度房室传导阻滞、ST段抬高、窦性夺获等。
(4)部分心电图诊断项目在普通病房、急重症病房可以找到,但在门诊很少见。如:房性逸搏加速、室性心动过速、室颤、二度I型房室传导阻滞、整体低电压等。
(5)通过样本量计算和汇总,获得三级医院不同临床场景下各类诊断录入信息的1794例评价数据库,其中急危重症病房819例,门诊456例,门诊519例。普通病房的病例。
门诊和二级医院病房在不同场景下的心电图诊断也存在差异:
(1)对于心电图诊断项目“正常心电图(范围)”,二级医院门诊的发生率高于病房(61.16% Vs. 50.74%,P
(2)部分心电图诊断项目,病房内发生率高于门诊,如窦性心动过缓、房性早搏、交界性早搏、一度房室传导阻滞、完全性右束支传导阻滞、不完全性右束支传导阻滞等。束支传导阻滞、肢体导联低电压、R波进展不良、ST段改变、Q波异常、前间隔、后壁心肌梗死等。
(3)通过样本量计算和汇总,获得二级医院931例涵盖不同临床场景下各种诊断录入信息的评价数据库,其中门诊412例,普通病房519例。
根据不同的临床应用划分心电图场景。不同的心电图场景有各自的心电图诊断分布特点。应用心电诊断分布进行场景划分,建立相关心电场景数据库,为下一步心电图机应用场景评估奠定基础。根据。
3 数据库的创新点及临床应用
(1)目前国内外缺乏心电图场景相关的数据库研究。该数据库根据不同医院的级别和疾病的分布特征对心电图数据库进行分类,并通过数据库进一步评估心电图机的自动诊断分析和算法的有效性。对不同场景下心电图设备的评估和检测具有重要的指导意义。
(2)基于真实医院环境和临床场景建立临床应用场景数据库。数据库采集精度高,涵盖心电波形数据、心电特征值、专家诊断心电结果及相关临床信息。数据库全面、丰富、可靠。强大的。
(3)由于该数据库是根据不同临床应用场景建立的,将积极推动不同临床场景下心脏病的学习和研究,基于该数据库的深入分析和挖掘将为医务工作者提供更丰富的科研成果。数据。
临床应用场景评估心电图数据库的建立,为评估不同临床应用场景下心电图机自动诊断功能奠定了基础pg麻将胡了试玩平台,为心电图机制造商评估自动诊断评估功能参数提供了重要参考。
另外,根据临床应用场景数据库对心电图机进行评估后,为各级医院采购部门提供应用参考,避免高配置、错配,节省采购成本。
用于临床应用场景评估的心电图数据库不仅将提高国产心电图机的自动诊断功能、适应场景,也为医务工作者提供宝贵的科研和教学资源。
鲁ICP备18019460号-4
我要评论