赏金女王pg破解版下载 寒假带你先修系列:高中物理平抛运动知识点及常见题型解析
寒假来临,不少同学于放松之际仍需持续学习。老李率先且首要地为这般热爱学习的同学致以点赞,拼搏的青春会更加精彩哟。为配合同学们的学习,老李替同学们依规整理了高中物理必修二先修系列文章,今日先要给同学们呈上第一节的学习文章:平抛运动学习方法详尽解析啊。
首先我们看一下平抛运动的定义及基本公式:
1、首先,平抛运动有这样一个定义,所谓平抛运动,它是一种运动,是那种物体仅仅只在重力作用的情况下,开始的一种从具有水平初速度起始的运动。
2、条件:
a、只受重力:b、初速度与重力垂直.
3、运动性质:它的速度大小以及方向,时刻都在发生改变,然而它运动时的加速度,却始终是重力加速度g,所以平抛运动是一个匀变速曲线运动。
4、研究平抛运动所采用的方法是,一般而言,能够将平抛运动视作是由两个分运动共同合成的运动,其中一个分运动是处于水平方向,就是垂直于恒力方向的匀速直线运动,另一个分运动是处于竖直方向,也就是沿着恒力方向的匀加速直线运动。水平方向以及竖直方向的这两个分运动,它们既具备独立性,同时又拥有等时性。
5、平抛运动的规律
①水平速度:vx=v0,竖直速度:vy=gt
合速度(实际速度)的大小:
物体的合速度v与x轴之间的夹角为:
②水平位移:
竖直位移
合位移(实际位移)的大小:
物体的总位移s与x轴之间的夹角为:
可见,平抛运动的速度方向与位移方向不相同。
而且
但是要记住
6、平抛运动的几个结论
①落地时间由竖直方向分运动决定:

平抛运动常见题型一:直接应用公式解题。
我们看一下2017年高考全国卷一第18题。
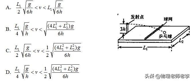
18.有一乒乓球台,上面带有乒乓球发射机,其水平台面的长是L1,宽是L2,中间球网高度为h ,发射机安装在台面左侧边缘的中点处 ,它能够依照不一样的速率朝右侧不相同的方向水平地发射乒乓球 ,发射点距离台面的高度为3h ,空气作用忽略不计 ,重力加速度大小为g ,要是有某个范围内的乒 乓球发射速率v,通过挑选恰当合适的方向 ,就可以让乒乓球落到球网右侧的台面上问鼎赏金女王pg官网入口下载,那么关于v的最大取值范围是。

这道题目,是针对公式展开的在直接方面的考查状况,诸位同学,只需要找到题目当中的,被限定在一定范畴内的条件,直接把它带入到公式里进行求解,就能够得出结果了。
具体解题过程如下:


平抛运动常见题型二:利用运动的合成与分解解题。
一般而言,此类题型不能够直接代入公式去求解,而是同学们要先把速度位移予以分解,之后再去列出方程。我们来看一个例题:
哎,你看,有个倾斜雪道,它的长度是50米,顶端的高度呢是30米,然后,这个倾斜雪道的下端问鼎赏金女王pg官网入口下载手机版安,经过一小段圆弧过渡,就和那段可长可长、老长老长的水平雪道接一块儿 ,就像图里画的那样。有个滑雪运动员,在倾斜雪道的顶端诶,水平速度是v0=10米每秒一下子飞出去了,当他落到倾斜雪道上的时候哦诶,这个运动员通过改变姿势来进行缓冲,就是为了让自己只留下沿着斜面的分速度,而不会弹起来哇。除了缓冲这部分之外,运动员可以被看成是质点,过渡轨道呢是光滑的,它的长度呢可以忽略不计。假设滑雪板和雪道的动摩擦因数μ=0.2,那求啥呢:
(1)运动员落在倾斜雪道上时与飞出点之间的距离;
(2)运动员落到倾斜雪道瞬间沿斜面的速度大小;
这道题目,没办法直接运用公式去进行计算,得把位移分解为水平方向的位移,以及竖直方向的位移,之后才开展计算。
看解答:

感悟与反思:
采用常规解法来处理第一问;针对第二问pg问鼎安卓下载,去求运动员落到倾斜雪道瞬间沿着斜面的速度大小之处,在进行分解时,正交系首选的是水平以及竖直方向,它看上去比较老套可是实质上很不错,也就是需要进行二次分解,并且对分解的要求会达到很高的程度。
平抛运动常见题型三:利用正切值2倍的结论求解。
首先跟同学们复习下什么是正切值2倍关系。
我们看一个例题:
依照所呈现的图示来看,于倾角是θ的斜面上的A点之处,以水平方向的速度v0去抛出一个小球而言,在不考虑空气阻力的情况之下,它落到斜面上的B点的时候所运用的时间是()

当物体落到斜面上之际,物体的速度方向跟水平方向夹角的正切,乃是θ角正切的两倍,如此一来,便极易得出答案为B。
总之一类关于平抛运动的问题,这些同学们首先得记住相关公式,其次要极其擅长进行合理分解,最后还要特别善于运用那些结论,只要掌握好这三点,但凡平抛运动的题目就根本难不倒你了。
今天的分享就到这里了,你学会了吗,同学?

鲁ICP备18019460号-4
我要评论